電話:13570151199
傳真:020-39972520
郵箱:hanyan@hanyancarbon.com
地址:廣東省廣州市番禺區東環街番禺大道北555號天安總部中心30號樓6層
活性炭吸附精制棕櫚油中的有害物
棕櫚油可用于生產其衍生產品,如食用油和人造黃油。該過程包括兩個主要步驟:提取和精煉。在提取步驟中,生產粗棕櫚油。然后,粗棕櫚油進行精煉步驟,包括物理(蒸汽)精煉、脫膠、漂白和脫臭,以生產精煉、漂白和脫臭棕櫚油。然而,棕櫚油被證明含有少量有害的化合物。這些有毒污染物是 3-單氯丙二醇(3-MCPD)酯和縮水甘油酯 (GE),它們是在棕櫚油高溫脫臭過程中形成的。本次研究準備通過活性炭吸附來降低精煉棕櫚油中有害物的濃度。
棕櫚油的每種衍生產品都含有3-單氯丙烷-1,2-二醇酯及其相關物質縮水甘油酯(GE)。兩者都是在高溫(約200℃)下通過除臭過程形成的。通常,由棕櫚油生產的食用油的3-單氯丙烷和GE濃度較高。降低食用油中有害物的含量有一些緩解措施,即避免和盡量減少原料中的前體、改進、延長精煉過程以及精煉后去除酯類。這次我們使用了吸附法精煉后去除酯類,因為它成本低且不改變商業工藝。必須在除臭和分餾步驟之間添加活性炭吸附并在飽和和不飽和脂肪產品中去除。
活性炭的特性
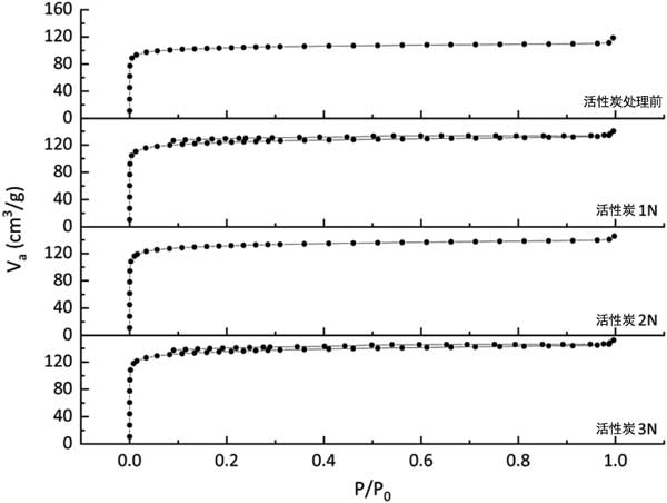
使用BET法的氮氣物理吸附分析儀確定吸附劑吸附等溫線并測量比表面積和孔體積。等溫曲線如圖1所示。圖1顯示處理前后的所有活性炭均為I型等溫線。I型等溫線表明吸附劑通常是微孔的,暴露的表面幾乎完全位于微孔內部,幾乎沒有或沒有外表面可供進一步吸附一次充滿吸附質。I型向P/P0軸凹,吸附量達到極限值(P/P0→1)P/P0是相對壓力,它是吸附氣體平衡壓力與其飽和平衡蒸汽壓力的比值。圖1中清楚地描述了酸處理可以增加吸附氮氣的體積,這表明增加的孔體積。

圖1:活性炭處理前后的等溫線曲線。
活性炭的吸附能力測試
用作吸附劑的活性炭是根據其在先前實驗中觀察到的優選特性來選擇的。在圓底燒瓶內進行實驗室規模的吸附(見圖2)。制備3-MCPD的甲醇溶液,濃度為5、10、15和40ppm。使用2%的活性炭在40℃下吸附兩小時。然后,將混合物在5000rpm和室溫下離心15分鐘。然后制備該溶液用于分析。

圖2:實驗室規模活性炭吸附的儀器方案。
使用酸處理的活性炭對有害物的吸附平衡研究
氯丙醇化合物的吸附是由于活性炭表面的羧基與3-MCPD的氯化物位點發生酯化,不是羥基位點或酯位點。因此,等溫線模型是用3-MCPD溶液作為被吸附物溶液的吸附來測量的。各等溫線模型的線性回歸圖見圖3,從結果來看Langmuir、Freundlich、Dubinin-Raduskevich和Temkin等溫線模型具有較高的R2值,Temkin模型較高,因此是適合3-MCPD吸附的模型。

圖3:活性炭對有害物吸附的等溫線模型圖。
活性炭吸附非極性化合物(3-MCPDE和GE)或極性化合物(3-MCPD和縮水甘油)的能力也與其疏水性/親水性有關。活性炭的疏水/親水特性與其氧含量有關。一般來說,活性炭被表示為非極性吸附劑,因此可以吸附非極性分子3-MCPDE和GE。這導致非極性分子和活性炭之間具有很強的親和力。然而,表現出氧的活性炭將具有極性位點。因此,活性炭具有吸附極性化合物的能力,如2-MCPD、3-MCPD和縮水甘油(非酯化形式)。先前的研究已經證明,極性化合物(例如水)可以通過氫鍵與活性炭結合,然后在此位置形成額外的水分子組。通過酸處理改性的活性炭可以誘導表面變得更具極性,并且還導致吸附劑更有選擇性地吸附3-MCPDE、GE及其比甘油三酯更具極性的非酯化形式。總之,活性炭大多是非極性的,但也有一些極性位點。
活性炭吸附精制棕櫚油中的有害物,實驗中的活性炭已使用酸改性。在活性炭上使用進行酸處理可得到良好的孔體積分布,已成功證明用酸處理的活性炭可以吸附3-MCPD和GE。通過使用各種等溫線模型擬合平衡數據發現,活性炭可以去除精制棕櫚油中約97%的GE濃度。活性炭對非極性化合物的吸附比對極性化合物的吸附效果更好。精制棕櫚油中GE含量的去除效果優于使用活性炭去除3-MCPD。如果在35℃的操作溫度下,GE去除率的百分比為97%。
文章標簽:椰殼活性炭,果殼活性炭,煤質活性炭,木質活性炭,蜂窩活性炭,凈水活性炭.推薦資訊
- 2025-12-15活性炭吸附馬兜鈴酸
- 2025-11-27超細活性炭5000目粉末活性炭
- 2025-11-26活性炭在硫化橡膠襯套中的應用
- 2025-11-19活性炭吸附重晶石混合物中的銅和鋅
- 2025-11-10活性炭去除PFAS
- 2025-11-03防一氧化碳霍加拉特劑
- 2025-11-03防汞蒸汽專用炭防放射性碘專用炭
- 2025-11-03防酸專用炭與防氨專用炭
- 2025-11-03防護服專用炭及全防炭的介紹應用
- 2025-10-21活性炭從堿性甘氨酸溶液中吸附鉑
- 2025-10-10活性炭金屬改性對氫的吸附
- 2025-09-29活性炭吸附有機微污染物
